Botanical Reference Materials

Botanical Reference Material, specifically a plant high-purity control strain is a substance used for scientific research or identification, particularly in chemical composition analysis, pharmacological activity screening, toxicity mechanism research, drug administration, food, health food, cosmetics, and other related products. It is employed through accurate qualitative and purity analysis, uniformity testing, and stability monitoring. These substances have specific characteristics or quantities and are classified into categories such as fatty acids, phenolic acids, anthones, terpenoids, steroids, saponins, phenylpropanoids, flavonoids, alkaloids, carbohydrates, amino acids, peptides, and others. We offer over 6,000 types of high-purity plant reference materials, including traditional Chinese medicine, natural medicine, plant, and other related scientific research and application reference materials.

Name

Description

Structure

Catalog No: ST15280120
CAS No: 34298-86-7
Description: Chemical Name: Rhein-8-O-β-D- glucopyranoside, Chemical Formula: C21H18O11, Purity: HPLC≥98%.High-purity plant reference material for precise scientific research and analysis.
Catalog No: ST15300220
CAS No: 13241-28-6
Description: Chemical Name: Chrysophanol-8-O-β-D- glucopyranoside, Chemical Formula: C21H20O9, Purity: HPLC≥95%.High-purity plant reference material for precise scientific research and analysis.
Catalog No: ST15370105
CAS No: 37720-86-8
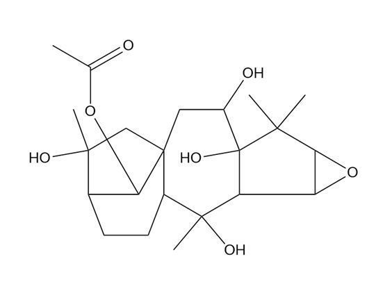
Description: Chemical Name: Rhodojaponin V, Chemical Formula: C22H34O7, Purity: HPLC≥98%.High-purity plant reference material for precise scientific research and analysis.
Catalog No: ST15410105
CAS No: 4168-17-6
Description: Chemical Name: Catharanthine hemitartrate, Chemical Formula: C25H30N2O8, Purity: HPLC≥98%.High-purity plant reference material for precise scientific research and analysis.
Catalog No: ST15100105
CAS No: 191729-43-8
Description: Chemical Name: Tenacissoside G, Chemical Formula: C42H64O14, Purity: HPLC≥98%.High-purity plant reference material for precise scientific research and analysis.
Catalog No: ST15270120
CAS No: 509-15-9
Description: Chemical Name: Gelsemine, Chemical Formula: C20H22N2O2, Purity: HPLC≥98%.High-purity plant reference material for precise scientific research and analysis.
Catalog No: ST15050120
CAS No: 2141-09-5
Description: Chemical Name: Magnoflorine, Chemical Formula: C20H24NO4, Purity: HPLC≥98%.High-purity plant reference material for precise scientific research and analysis.
Catalog No: ST15070105
CAS No: 4277-43-4
Description: Chemical Name: Magnoflorine iodide, Chemical Formula: C20H24NO4.I, Purity: HPLC≥98%.High-purity plant reference material for precise scientific research and analysis.
Catalog No: ST15090105
CAS No: 191729-44-9
Description: Chemical Name: Tenacissoside I, Chemical Formula: C44H62O14, Purity: HPLC≥98%.High-purity plant reference material for precise scientific research and analysis.
Catalog No: ST15010105
CAS No: 62956-48-3
Description: Chemical Name: Gomisin G, Chemical Formula: C30H32O9, Purity: HPLC≥98%.High-purity plant reference material for precise scientific research and analysis.

Request a call back

Quotation request