Botanical Reference Materials

Botanical Reference Material, specifically a plant high-purity control strain is a substance used for scientific research or identification, particularly in chemical composition analysis, pharmacological activity screening, toxicity mechanism research, drug administration, food, health food, cosmetics, and other related products. It is employed through accurate qualitative and purity analysis, uniformity testing, and stability monitoring. These substances have specific characteristics or quantities and are classified into categories such as fatty acids, phenolic acids, anthones, terpenoids, steroids, saponins, phenylpropanoids, flavonoids, alkaloids, carbohydrates, amino acids, peptides, and others. We offer over 6,000 types of high-purity plant reference materials, including traditional Chinese medicine, natural medicine, plant, and other related scientific research and application reference materials.

Name

Description

Structure

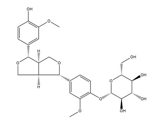
Catalog No: ST15550105
CAS No: 69251-96-3
Description: Chemical Name: (+)-pinoresinol-4-O-β-D- glucopyranoside, Chemical Formula: C26H32O11, Purity: HPLC≥98%.High-purity plant reference material for precise scientific research and analysis.
Catalog No: ST15560105
CAS No: 80286-58-4
Description: Chemical Name: Artemisinic acid, Chemical Formula: C15H22O2, Purity: HPLC≥98%.High-purity plant reference material for precise scientific research and analysis.
Catalog No: ST15580120
CAS No: 119262-68-9
Description: Chemical Name: Scutellarin methylester, Chemical Formula: C22H20O12, Purity: HPLC≥98%.High-purity plant reference material for precise scientific research and analysis.
Catalog No: ST15590105
CAS No: 6035-49-0
Description: Chemical Name: Dimethylfraxetin, Chemical Formula: C12H12O5, Purity: HPLC≥98%.High-purity plant reference material for precise scientific research and analysis.
Catalog No: ST15520105
CAS No: 486-86-2
Description: Chemical Name: N-Methylcytisine, Chemical Formula: C12H16N2O, Purity: HPLC≥98%.High-purity plant reference material for precise scientific research and analysis.
Catalog No: ST15450205
CAS No: 19275-46-8
Description: Chemical Name: 3-Isomangostin, Chemical Formula: C24H26O6, Purity: HPLC≥95%.High-purity plant reference material for precise scientific research and analysis.
Catalog No: ST15460105
CAS No: 38395-02-7
Description: Chemical Name: Caudatin, Chemical Formula: C28H42O7, Purity: HPLC≥98%.High-purity plant reference material for precise scientific research and analysis.
Catalog No: ST15480105
CAS No: 106758-54-7
Description: Chemical Name: Qingyangshengenin B, Chemical Formula: C49H78O16, Purity: HPLC≥98%.High-purity plant reference material for precise scientific research and analysis.
Catalog No: ST15510120
CAS No: 2009-24-7
Description: Chemical Name: Xanthotoxol, Chemical Formula: C11H6O4, Purity: HPLC≥98%.High-purity plant reference material for precise scientific research and analysis.
Catalog No: ST15440205
CAS No: 20931-37-7
Description: Chemical Name: β-Mangostin, Chemical Formula: C25H28O6, Purity: HPLC≥95%.High-purity plant reference material for precise scientific research and analysis.

Request a call back

Quotation request