Description
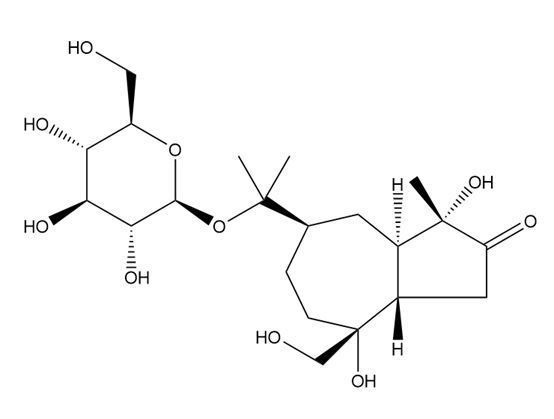
Chemical Name: Atractyloside A, Chemical Formula: C21H36O10, Purity: HPLC≥98%. This Botanical Reference Material, specifically a plant high-purity control strain, is essential for scientific research and identification purposes. It is used in chemical composition analysis, pharmacological activity screening, toxicity mechanism research, and other related fields, ensuring accurate qualitative and purity analysis, uniformity testing, and stability monitoring.