Botanical Reference Materials

Botanical Reference Material, specifically a plant high-purity control strain is a substance used for scientific research or identification, particularly in chemical composition analysis, pharmacological activity screening, toxicity mechanism research, drug administration, food, health food, cosmetics, and other related products. It is employed through accurate qualitative and purity analysis, uniformity testing, and stability monitoring. These substances have specific characteristics or quantities and are classified into categories such as fatty acids, phenolic acids, anthones, terpenoids, steroids, saponins, phenylpropanoids, flavonoids, alkaloids, carbohydrates, amino acids, peptides, and others. We offer over 6,000 types of high-purity plant reference materials, including traditional Chinese medicine, natural medicine, plant, and other related scientific research and application reference materials.

Name

Description

Structure

Catalog No: ST81680105
CAS No: 6170-06-5
Description: Chemical Name: Alizarin 1-methyl ether, Chemical Formula: C15H10O4, Purity: HPLC≥98%.High-purity plant reference material for precise scientific research and analysis.
Catalog No: ST81690205
CAS No: 6268-09-3
Description: Chemical Name: 1-Hydroxy-2- methylanthraquinone, Chemical Formula: C15H10O3, Purity: HPLC≥95%.High-purity plant reference material for precise scientific research and analysis.
Catalog No: ST81660205
CAS No: 1071-52-9
Description: Chemical Name: Apo-12’-lycopenal, Chemical Formula: C25H34O, Purity: HPLC≥95%.High-purity plant reference material for precise scientific research and analysis.
Catalog No: ST81670105
CAS No: 6988-81-4
Description: Chemical Name: Petunidin 3-O-glucoside chloride, Chemical Formula: C22H23O12.Cl, Purity: HPLC≥98%.High-purity plant reference material for precise scientific research and analysis.
Catalog No: ST81650105
CAS No: 88664-08-8
Description: Chemical Name: 11-hydroxy-sugiol, Chemical Formula: C20H28O3, Purity: HPLC≥98%.High-purity plant reference material for precise scientific research and analysis.
Catalog No: ST81610105
CAS No: 140670-84-4
Description: Chemical Name: Levatin, Chemical Formula: C19H20O5, Purity: HPLC≥98%.High-purity plant reference material for precise scientific research and analysis.
Catalog No: ST81620105
CAS No: 70588-05-5
Description: Chemical Name: Obtusin, Chemical Formula: C18H16O7, Purity: HPLC≥98%.High-purity plant reference material for precise scientific research and analysis.
Catalog No: ST81640205
CAS No: 54113-95-0
Description: Chemical Name: 15-hydroxy-dehydroabietic acid, Chemical Formula: C20H28O3, Purity: HPLC≥95%.High-purity plant reference material for precise scientific research and analysis.
Catalog No: ST81600105
CAS No: 76475-17-7
Description: Chemical Name: Croverin, Chemical Formula: C21H22O6, Purity: HPLC≥98%.High-purity plant reference material for precise scientific research and analysis.
Catalog No: ST81560105
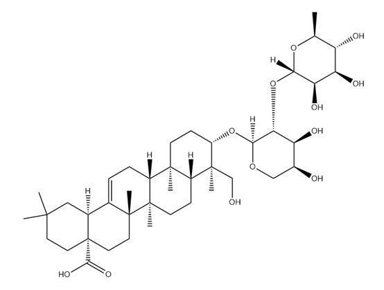
CAS No: 123350-57-2
Description: Chemical Name: Hederagenin-3-O-α-L- rhamnopyranosyl (1→2)-α- L-arabinopyranoside, Chemical Formula: C41H66O12, Purity: HPLC≥98%.High-purity plant reference material for precise scientific research and analysis.

Request a call back

Quotation request