Botanical Reference Materials

Botanical Reference Material, specifically a plant high-purity control strain is a substance used for scientific research or identification, particularly in chemical composition analysis, pharmacological activity screening, toxicity mechanism research, drug administration, food, health food, cosmetics, and other related products. It is employed through accurate qualitative and purity analysis, uniformity testing, and stability monitoring. These substances have specific characteristics or quantities and are classified into categories such as fatty acids, phenolic acids, anthones, terpenoids, steroids, saponins, phenylpropanoids, flavonoids, alkaloids, carbohydrates, amino acids, peptides, and others. We offer over 6,000 types of high-purity plant reference materials, including traditional Chinese medicine, natural medicine, plant, and other related scientific research and application reference materials.

Name

Description

Structure

Catalog No: ST82620105
CAS No: 214125-04-9
Description: Chemical Name: Jasminoside B, Chemical Formula: C16H26O8, Purity: HPLC≥98%.High-purity plant reference material for precise scientific research and analysis.
Catalog No: ST82600105
CAS No: 53155-25-2
Description: Chemical Name: Euscaphic acid, Chemical Formula: C30H48O5, Purity: HPLC≥98%.High-purity plant reference material for precise scientific research and analysis.
Catalog No: ST82610105
CAS No: 5115-71-9
Description: Chemical Name: Glucotropaeolin, Chemical Formula: C14H19NO9S2.K, Purity: HPLC≥98%.High-purity plant reference material for precise scientific research and analysis.
Catalog No: ST82590105
CAS No: 575446-95-6
Description: Chemical Name: Notoginsenoside S, Chemical Formula: C63H106O30, Purity: HPLC≥98%.High-purity plant reference material for precise scientific research and analysis.
Catalog No: ST82540105
CAS No: 1078708-72-1
Description: Chemical Name: Onjisaponin Z, Chemical Formula: C71H106O32, Purity: HPLC≥98%.High-purity plant reference material for precise scientific research and analysis.
Catalog No: ST82560105
CAS No: 4176-97-0
Description: Chemical Name: 14-Deoxyandrographolide, Chemical Formula: C20H30O4, Purity: HPLC≥98%.High-purity plant reference material for precise scientific research and analysis.
Catalog No: ST82570105
CAS No: 130848-06-5
Description: Chemical Name: Decursinol angelate, Chemical Formula: C19H20O5, Purity: HPLC≥98%.High-purity plant reference material for precise scientific research and analysis.
Catalog No: ST82580105
CAS No: 22136-74-9
Description: Chemical Name: Podocarpusflavone A, Chemical Formula: C31H20O10, Purity: HPLC≥98%.High-purity plant reference material for precise scientific research and analysis.
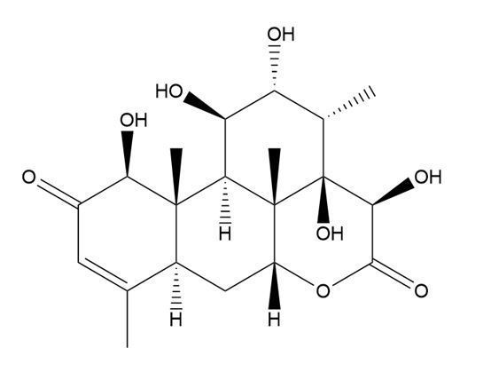
Catalog No: ST82530105
CAS No: 137359-82-1
Description: Chemical Name: 14,15beta- Dihydroxyklaineanone, Chemical Formula: C20H28O8, Purity: HPLC≥98%.High-purity plant reference material for precise scientific research and analysis.
Catalog No: ST82520105
CAS No: 23062-24-0
Description: Chemical Name: Eurycomalactone, Chemical Formula: C19H24O6, Purity: HPLC≥98%.High-purity plant reference material for precise scientific research and analysis.

Request a call back

Quotation request