Botanical Reference Materials

Botanical Reference Material, specifically a plant high-purity control strain is a substance used for scientific research or identification, particularly in chemical composition analysis, pharmacological activity screening, toxicity mechanism research, drug administration, food, health food, cosmetics, and other related products. It is employed through accurate qualitative and purity analysis, uniformity testing, and stability monitoring. These substances have specific characteristics or quantities and are classified into categories such as fatty acids, phenolic acids, anthones, terpenoids, steroids, saponins, phenylpropanoids, flavonoids, alkaloids, carbohydrates, amino acids, peptides, and others. We offer over 6,000 types of high-purity plant reference materials, including traditional Chinese medicine, natural medicine, plant, and other related scientific research and application reference materials.

Name

Description

Structure

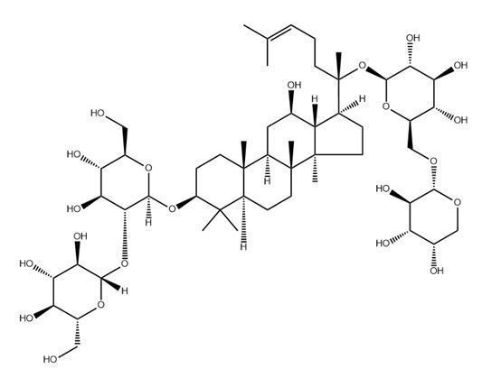
Catalog No: ST02500120
CAS No: 68406-26-8
Description: Chemical Name: Ginsenoside Rb3, Chemical Formula: C53H90O22, Purity: HPLC≥98%.High-purity plant reference material for precise scientific research and analysis.
Catalog No: ST02510120
CAS No: 52286-59-6
Description: Chemical Name: Ginsenoside Re, Chemical Formula: C48H82O18, Purity: HPLC≥98%.High-purity plant reference material for precise scientific research and analysis.
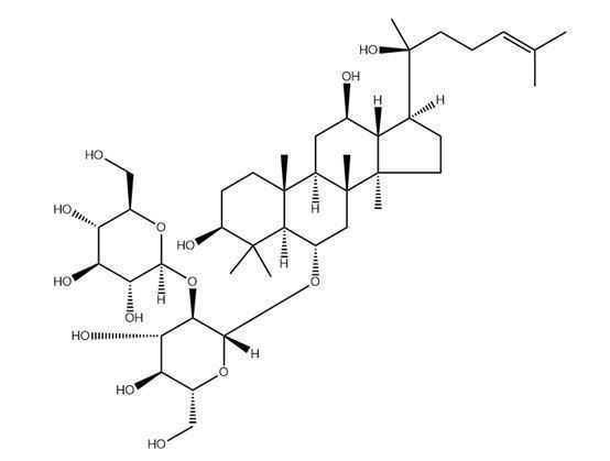
Catalog No: ST02480120
CAS No: 41753-43-9
Description: Chemical Name: Ginsenoside Rb1, Chemical Formula: C54H92O23, Purity: HPLC≥98%.High-purity plant reference material for precise scientific research and analysis.
Catalog No: ST02490120
CAS No: 11021-13-9
Description: Chemical Name: Ginsenoside Rb2, Chemical Formula: C53H90O22, Purity: HPLC≥98%.High-purity plant reference material for precise scientific research and analysis.
Catalog No: ST02430120
CAS No: 529-59-9
Description: Chemical Name: Genistin, Chemical Formula: C21H20O10, Purity: HPLC≥98%.High-purity plant reference material for precise scientific research and analysis.
Catalog No: ST02440120
CAS No: 18449-41-7
Description: Chemical Name: Madecassic acid, Chemical Formula: C30H48O6, Purity: HPLC≥98%.High-purity plant reference material for precise scientific research and analysis.
Catalog No: ST02450120
CAS No: 19666-76-3
Description: Chemical Name: Panaxadiol, Chemical Formula: C30H52O3, Purity: HPLC≥98%.High-purity plant reference material for precise scientific research and analysis.
Catalog No: ST02470120
CAS No: 32791-84-7
Description: Chemical Name: Panaxatriol, Chemical Formula: C30H52O4, Purity: HPLC≥98%.High-purity plant reference material for precise scientific research and analysis.
Catalog No: ST02420120
CAS No: 83-44-3
Description: Chemical Name: Deoxycholic acid, Chemical Formula: C24H40O4, Purity: HPLC≥98%.High-purity plant reference material for precise scientific research and analysis.
Catalog No: ST02370120
CAS No: 78281-02-4
Description: Chemical Name: Hydroxysafflor yellow A, Chemical Formula: C27H32O16, Purity: HPLC≥98%.High-purity plant reference material for precise scientific research and analysis.

Request a call back

Quotation request