Botanical Reference Materials

Botanical Reference Material, specifically a plant high-purity control strain is a substance used for scientific research or identification, particularly in chemical composition analysis, pharmacological activity screening, toxicity mechanism research, drug administration, food, health food, cosmetics, and other related products. It is employed through accurate qualitative and purity analysis, uniformity testing, and stability monitoring. These substances have specific characteristics or quantities and are classified into categories such as fatty acids, phenolic acids, anthones, terpenoids, steroids, saponins, phenylpropanoids, flavonoids, alkaloids, carbohydrates, amino acids, peptides, and others. We offer over 6,000 types of high-purity plant reference materials, including traditional Chinese medicine, natural medicine, plant, and other related scientific research and application reference materials.

Name

Description

Structure

Catalog No: ST05220120
CAS No: 90-33-5
Description: Chemical Name: Hymecromone, Chemical Formula: C10H8O3, Purity: HPLC≥98%.High-purity plant reference material for precise scientific research and analysis.
Catalog No: ST05230120
CAS No: 107316-88-1
Description: Chemical Name: Demethylzeylasteral, Chemical Formula: C29H36O6, Purity: HPLC≥98%.High-purity plant reference material for precise scientific research and analysis.
Catalog No: ST05240120
CAS No: 69-65-8
Description: Chemical Name: Mannitol, Chemical Formula: C6H14O6, Purity: HPLC≥98%.High-purity plant reference material for precise scientific research and analysis.
Catalog No: ST05200120
CAS No: 3081-61-6
Description: Chemical Name: L-Theanine, Chemical Formula: C7H14N2O3, Purity: HPLC≥98%.High-purity plant reference material for precise scientific research and analysis.
Catalog No: ST05160120
CAS No: 64291-41-4
Description: Chemical Name: Acetagastrodin, Chemical Formula: C21H26O11, Purity: HPLC≥98%.High-purity plant reference material for precise scientific research and analysis.
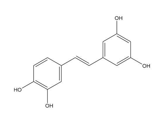
Catalog No: ST05190120
CAS No: 10083-24-6
Description: Chemical Name: Piceatannol, Chemical Formula: C14H12O4, Purity: HPLC≥98%.High-purity plant reference material for precise scientific research and analysis.
Catalog No: ST05140120
CAS No: 100-09-4
Description: Chemical Name: p-Anisic acid, Chemical Formula: C8H8O3, Purity: HPLC≥98%.High-purity plant reference material for precise scientific research and analysis.
Catalog No: ST05120120
CAS No: 579-75-9
Description: Chemical Name: 2-Methoxybenzoic acid, Chemical Formula: C8H8O3, Purity: HPLC≥98%.High-purity plant reference material for precise scientific research and analysis.
Catalog No: ST05130120
CAS No: 586-38-9
Description: Chemical Name: 3-Methoxybenzoic acid, Chemical Formula: C8H8O3, Purity: HPLC≥98%.High-purity plant reference material for precise scientific research and analysis.
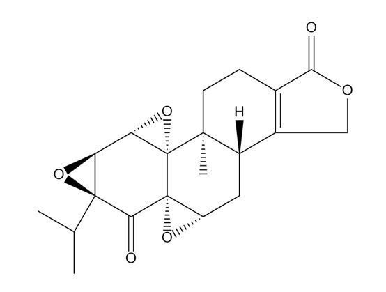
Catalog No: ST04990120
CAS No: 38647-11-9
Description: Chemical Name: Triptonide, Chemical Formula: C20H22O6, Purity: HPLC≥98%.High-purity plant reference material for precise scientific research and analysis.

Request a call back

Quotation request