Botanical Reference Materials

Botanical Reference Material, specifically a plant high-purity control strain is a substance used for scientific research or identification, particularly in chemical composition analysis, pharmacological activity screening, toxicity mechanism research, drug administration, food, health food, cosmetics, and other related products. It is employed through accurate qualitative and purity analysis, uniformity testing, and stability monitoring. These substances have specific characteristics or quantities and are classified into categories such as fatty acids, phenolic acids, anthones, terpenoids, steroids, saponins, phenylpropanoids, flavonoids, alkaloids, carbohydrates, amino acids, peptides, and others. We offer over 6,000 types of high-purity plant reference materials, including traditional Chinese medicine, natural medicine, plant, and other related scientific research and application reference materials.

Name

Description

Structure

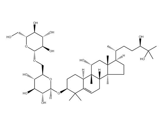
Catalog No: ST14490220
CAS No: 18649-93-9
Description: Chemical Name: Alisol B, Chemical Formula: C30H48O4, Purity: HPLC≥95%.High-purity plant reference material for precise scientific research and analysis.
Catalog No: ST14420110
CAS No: 62025-50-7
Description: Chemical Name: Ginsenoside F3, Chemical Formula: C41H70O13, Purity: HPLC≥98%.High-purity plant reference material for precise scientific research and analysis.
Catalog No: ST14450205
CAS No: 58558-08-0
Description: Chemical Name: Saikosaponin B1, Chemical Formula: C42H68O13, Purity: HPLC≥95%.High-purity plant reference material for precise scientific research and analysis.
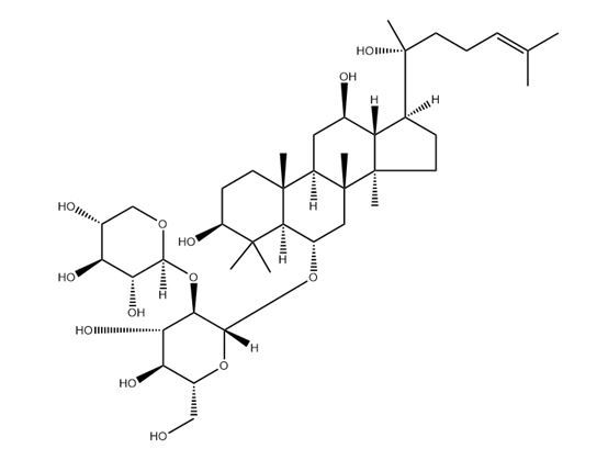
Catalog No: ST14460305
CAS No: 948046-15-9
Description: Chemical Name: 20(R)-Notoginsenoside R2, Chemical Formula: C41H70O13, Purity: HPLC≥90%.High-purity plant reference material for precise scientific research and analysis.
Catalog No: ST14370105
CAS No: 130567-83-8
Description: Chemical Name: Mogroside III, Chemical Formula: C48H82O19, Purity: HPLC≥98%.High-purity plant reference material for precise scientific research and analysis.
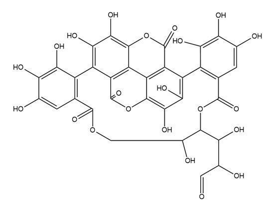
Catalog No: ST14380105
CAS No: 65995-64-4
Description: Chemical Name: Punicalin, Chemical Formula: C34H22O22, Purity: HPLC≥98%.High-purity plant reference material for precise scientific research and analysis.
Catalog No: ST14320105
CAS No: 89590-95-4
Description: Chemical Name: Mogroside IV, Chemical Formula: C54H92O24, Purity: HPLC≥98%.High-purity plant reference material for precise scientific research and analysis.
Catalog No: ST14340105
CAS No: 126105-11-1
Description: Chemical Name: 11-Oxo-mogroside V, Chemical Formula: C60H100O29, Purity: HPLC≥98%.High-purity plant reference material for precise scientific research and analysis.
Catalog No: ST14350105
CAS No: 126105-12-2
Description: Chemical Name: Siamenoside I, Chemical Formula: C54H92O24, Purity: HPLC≥98%.High-purity plant reference material for precise scientific research and analysis.
Catalog No: ST14280105
CAS No: 88901-42-2
Description: Chemical Name: Mogroside IIIA1, Chemical Formula: C48H82O19, Purity: HPLC≥98%.High-purity plant reference material for precise scientific research and analysis.

Request a call back

Quotation request