Botanical Reference Materials

Botanical Reference Material, specifically a plant high-purity control strain is a substance used for scientific research or identification, particularly in chemical composition analysis, pharmacological activity screening, toxicity mechanism research, drug administration, food, health food, cosmetics, and other related products. It is employed through accurate qualitative and purity analysis, uniformity testing, and stability monitoring. These substances have specific characteristics or quantities and are classified into categories such as fatty acids, phenolic acids, anthones, terpenoids, steroids, saponins, phenylpropanoids, flavonoids, alkaloids, carbohydrates, amino acids, peptides, and others. We offer over 6,000 types of high-purity plant reference materials, including traditional Chinese medicine, natural medicine, plant, and other related scientific research and application reference materials.

Name

Description

Structure

Catalog No: ST16680105
CAS No: 132210-34-5
Description: Chemical Name: Sanguinarine Citrate, Chemical Formula: C26H21NO11, Purity: HPLC≥98%.High-purity plant reference material for precise scientific research and analysis.
Catalog No: ST16690105
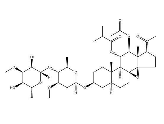
CAS No: 1260252-18-3
Description: Chemical Name: Tenacigenin B, 3-O-β- Allopyranosyl-(1→4)-β- oleandropyranosyl-11-O- isobutyryl-12-O-acetyl-, Chemical Formula: C41H64O14, Purity: HPLC≥98%.High-purity plant reference material for precise scientific research and analysis.
Catalog No: ST16700120
CAS No: 23696-28-8
Description: Chemical Name: Olaquindox, Chemical Formula: C12H13N3O4, Purity: HPLC≥98%.High-purity plant reference material for precise scientific research and analysis.
Catalog No: ST16710105
CAS No: 131-12-4
Description: Chemical Name: Pimpinellin, Chemical Formula: C13H10O5, Purity: HPLC≥98%.High-purity plant reference material for precise scientific research and analysis.
Catalog No: ST16670120
CAS No: 136997-64-3
Description: Chemical Name: (-)-Syringaresnol 4-O-β-D- apiofuranosyl-(1→2)-β-D- glucopyranoside, Chemical Formula: C33H44O17, Purity: HPLC≥98%.High-purity plant reference material for precise scientific research and analysis.
Catalog No: ST16630105
CAS No: 164991-86-0
Description: Chemical Name: Orcinol Gentiobioside, Chemical Formula: C19H28O12, Purity: HPLC≥98%.High-purity plant reference material for precise scientific research and analysis.
Catalog No: ST16640105
CAS No: 115713-06-9
Description: Chemical Name: 6′-O-β-D- Glucosylgentiopicroside, Chemical Formula: C22H30O14, Purity: HPLC≥98%.High-purity plant reference material for precise scientific research and analysis.
Catalog No: ST16650120
CAS No: 57396-78-8
Description: Chemical Name: Oroxin A, Chemical Formula: C21H20O10, Purity: HPLC≥98%.High-purity plant reference material for precise scientific research and analysis.
Catalog No: ST16660105
CAS No: 54328-09-5
Description: Chemical Name: Protopseudohypericin, Chemical Formula: C30H18O9, Purity: HPLC≥98%.High-purity plant reference material for precise scientific research and analysis.
Catalog No: ST16580181
CAS No: 6485-40-1
Description: Chemical Name: L(-)-Carvone, Chemical Formula: C10H14O, Purity: GC≥98%.High-purity plant reference material for precise scientific research and analysis.

Request a call back

Quotation request