Botanical Reference Materials

Botanical Reference Material, specifically a plant high-purity control strain is a substance used for scientific research or identification, particularly in chemical composition analysis, pharmacological activity screening, toxicity mechanism research, drug administration, food, health food, cosmetics, and other related products. It is employed through accurate qualitative and purity analysis, uniformity testing, and stability monitoring. These substances have specific characteristics or quantities and are classified into categories such as fatty acids, phenolic acids, anthones, terpenoids, steroids, saponins, phenylpropanoids, flavonoids, alkaloids, carbohydrates, amino acids, peptides, and others. We offer over 6,000 types of high-purity plant reference materials, including traditional Chinese medicine, natural medicine, plant, and other related scientific research and application reference materials.

Name

Description

Structure

Catalog No: ST38200110
CAS No: 531-29-3
Description: Chemical Name: Coniferin, Chemical Formula: C16H22O8, Purity: HPLC≥98%.High-purity plant reference material for precise scientific research and analysis.
Catalog No: ST49440205
CAS No: 109194-60-7
Description: Chemical Name: Tachioside, Chemical Formula: C13H18O18, Purity: HPLC≥95%.High-purity plant reference material for precise scientific research and analysis.
Catalog No: ST55950205
CAS No: 139726-36-6
Description: Chemical Name: Tenuifoliside B, Chemical Formula: C30H36O17, Purity: HPLC≥95%.High-purity plant reference material for precise scientific research and analysis.
Catalog No: ST55960210
CAS No: 23255-59-6
Description: Chemical Name: Lunularic acid, Chemical Formula: C15H14O4, Purity: HPLC≥95%.High-purity plant reference material for precise scientific research and analysis.
Catalog No: ST55880105
CAS No: 1268459-68-2
Description: Chemical Name: 5,6-Didehydroginsenoside Rd, Chemical Formula: C48H80O18, Purity: HPLC≥98%.High-purity plant reference material for precise scientific research and analysis.
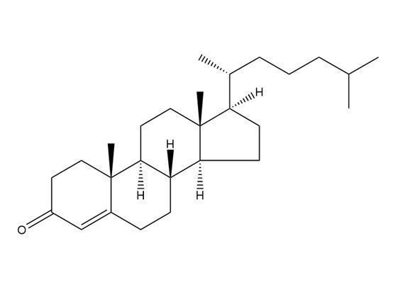
Catalog No: ST55890120
CAS No: 601-57-0
Description: Chemical Name: 4-Cholesten-3-one, Chemical Formula: C27H44O, Purity: HPLC≥98%.High-purity plant reference material for precise scientific research and analysis.
Catalog No: ST26760110
CAS No: 168293-10-5
Description: Chemical Name: C-Veratroylglycol, Chemical Formula: C10H12O5, Purity: HPLC≥98%.High-purity plant reference material for precise scientific research and analysis.
Catalog No: ST55900210
CAS No: 142451-48-7
Description: Chemical Name: Lobetyolinin, Chemical Formula: C26H38O13, Purity: HPLC≥98%.High-purity plant reference material for precise scientific research and analysis.
Catalog No: ST55910120
CAS No: 58-63-9
Description: Chemical Name: Inosine, Chemical Formula: C10H12N4O5, Purity: HPLC≥98%.High-purity plant reference material for precise scientific research and analysis.
Catalog No: ST55870105
CAS No: 2138499
Description: Chemical Name: 20(R)-Protopanaxadiol, Chemical Formula: C30H52O3, Purity: HPLC≥98%.High-purity plant reference material for precise scientific research and analysis.

Request a call back

Quotation request