Botanical Reference Materials

Botanical Reference Material, specifically a plant high-purity control strain is a substance used for scientific research or identification, particularly in chemical composition analysis, pharmacological activity screening, toxicity mechanism research, drug administration, food, health food, cosmetics, and other related products. It is employed through accurate qualitative and purity analysis, uniformity testing, and stability monitoring. These substances have specific characteristics or quantities and are classified into categories such as fatty acids, phenolic acids, anthones, terpenoids, steroids, saponins, phenylpropanoids, flavonoids, alkaloids, carbohydrates, amino acids, peptides, and others. We offer over 6,000 types of high-purity plant reference materials, including traditional Chinese medicine, natural medicine, plant, and other related scientific research and application reference materials.

Name

Description

Structure

Catalog No: ST56980120
CAS No: 1135-23-5
Description: Chemical Name: 3-(4-Hydroxy-3- methoxyphenyl)propionic acid, Chemical Formula: C10H12O4, Purity: HPLC≥98%.High-purity plant reference material for precise scientific research and analysis.
Catalog No: ST56950105
CAS No: 63320-67-2
Description: Chemical Name: Secoisolariciresinol β-D- glucoside, Chemical Formula: C26H36O11, Purity: HPLC≥98%.High-purity plant reference material for precise scientific research and analysis.
Catalog No: ST83310105
CAS No: 458-35-5
Description: Chemical Name: Coniferol, Chemical Formula: C10H12O3, Purity: HPLC≥98%.High-purity plant reference material for precise scientific research and analysis.
Catalog No: ST78740120
CAS No: 501-97-3
Description: Chemical Name: p-hydroxylphenylpropanol, Chemical Formula: C9H10O3, Purity: HPLC≥98%.High-purity plant reference material for precise scientific research and analysis.
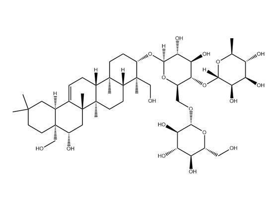
Catalog No: ST56920110
CAS No: 943915-16-0
Description: Chemical Name: Tribuluside A, Chemical Formula: C61H102O31, Purity: HPLC≥98%.High-purity plant reference material for precise scientific research and analysis.
Catalog No: ST56940105
CAS No: 26020-14-4
Description: Chemical Name: Calenduloside E, Chemical Formula: C36H56O9, Purity: HPLC≥98%.High-purity plant reference material for precise scientific research and analysis.
Catalog No: ST56880110
CAS No: 31795-12-7
Description: Chemical Name: Triglochinic acid, Chemical Formula: C7H8O6, Purity: HPLC≥98%.High-purity plant reference material for precise scientific research and analysis.
Catalog No: ST56890120
CAS No: 91510-62-2
Description: Chemical Name: D-Galacturonic acid hydrate, Chemical Formula: C6H10O7.H2O, Purity: HPLC≥98%.High-purity plant reference material for precise scientific research and analysis.
Catalog No: ST56910105
CAS No: 405229-61-0
Description: Chemical Name: Nepasaikosaponin K, Chemical Formula: C48H80O18, Purity: HPLC≥98%.High-purity plant reference material for precise scientific research and analysis.
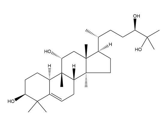
Catalog No: ST56840120
CAS No: 88930-15-8
Description: Chemical Name: Mogrol, Chemical Formula: C30H52O4, Purity: HPLC≥98%.High-purity plant reference material for precise scientific research and analysis.

Request a call back

Quotation request