Botanical Reference Materials

Botanical Reference Material, specifically a plant high-purity control strain is a substance used for scientific research or identification, particularly in chemical composition analysis, pharmacological activity screening, toxicity mechanism research, drug administration, food, health food, cosmetics, and other related products. It is employed through accurate qualitative and purity analysis, uniformity testing, and stability monitoring. These substances have specific characteristics or quantities and are classified into categories such as fatty acids, phenolic acids, anthones, terpenoids, steroids, saponins, phenylpropanoids, flavonoids, alkaloids, carbohydrates, amino acids, peptides, and others. We offer over 6,000 types of high-purity plant reference materials, including traditional Chinese medicine, natural medicine, plant, and other related scientific research and application reference materials.

Name

Description

Structure

Catalog No: ST78370100
CAS No: 130-95-0
Description: Chemical Name: Quinine, Chemical Formula: C20H24N2O2, Purity: HPLC≥98%.High-purity plant reference material for precise scientific research and analysis.
Catalog No: ST78380100
CAS No: 143-07-7
Description: Chemical Name: Lauric acid, Chemical Formula: C12H24O2, Purity: GC≥98%.High-purity plant reference material for precise scientific research and analysis.
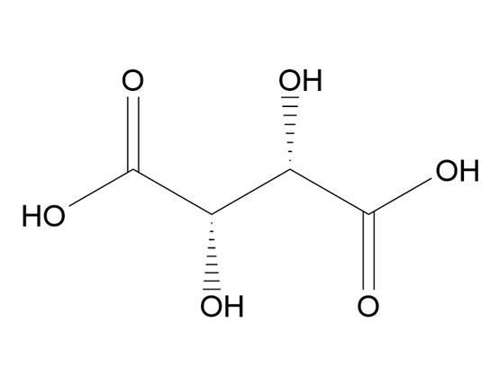
Catalog No: ST78390100
CAS No: 133-37-9
Description: Chemical Name: DL-Tartaric acid, Chemical Formula: C4H6O6, Purity: HPLC≥98%.High-purity plant reference material for precise scientific research and analysis.
Catalog No: ST78400100
CAS No: 112-85-6
Description: Chemical Name: Behenic acid, Chemical Formula: C22H44O2, Purity: HPLC≥98%.High-purity plant reference material for precise scientific research and analysis.
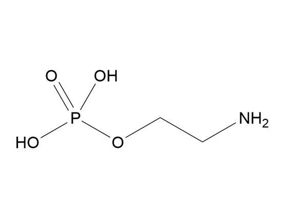
Catalog No: ST78340100
CAS No: 1071-23-4
Description: Chemical Name: Ethanolamine O-phosphate, Chemical Formula: C2H8NO4P, Purity: HPLC≥98%.High-purity plant reference material for precise scientific research and analysis.
Catalog No: ST78350100
CAS No: 123-31-9
Description: Chemical Name: Hydroquinone, Chemical Formula: C6H6O2, Purity: HPLC≥98%.High-purity plant reference material for precise scientific research and analysis.
Catalog No: ST78310100
CAS No: 6100-74-9
Description: Chemical Name: Isoacetovanillone, Chemical Formula: C9H10O3, Purity: HPLC≥98%.High-purity plant reference material for precise scientific research and analysis.
Catalog No: ST78320100
CAS No: 1034-01-1
Description: Chemical Name: Octyl gallate, Chemical Formula: C15H22O5, Purity: HPLC≥98%.High-purity plant reference material for precise scientific research and analysis.
Catalog No: ST78330100
CAS No: 103-41-3
Description: Chemical Name: Benzyl Cinnamate, Chemical Formula: C16H14O2, Purity: HPLC≥98%.High-purity plant reference material for precise scientific research and analysis.
Catalog No: ST78270100
CAS No: 52-90-4
Description: Chemical Name: L-Cysteine, Chemical Formula: C3H7NO2S, Purity: HPLC≥98%.High-purity plant reference material for precise scientific research and analysis.

Request a call back

Quotation request