Botanical Reference Materials

Botanical Reference Material, specifically a plant high-purity control strain is a substance used for scientific research or identification, particularly in chemical composition analysis, pharmacological activity screening, toxicity mechanism research, drug administration, food, health food, cosmetics, and other related products. It is employed through accurate qualitative and purity analysis, uniformity testing, and stability monitoring. These substances have specific characteristics or quantities and are classified into categories such as fatty acids, phenolic acids, anthones, terpenoids, steroids, saponins, phenylpropanoids, flavonoids, alkaloids, carbohydrates, amino acids, peptides, and others. We offer over 6,000 types of high-purity plant reference materials, including traditional Chinese medicine, natural medicine, plant, and other related scientific research and application reference materials.

Name

Description

Structure

Catalog No: ST81390105
CAS No: 6801-40-7
Description: Chemical Name: Liriodenine, Chemical Formula: C19H24NO3, Purity: HPLC≥98%.High-purity plant reference material for precise scientific research and analysis.
Catalog No: ST81330105
CAS No: 1245572-24-0
Description: Chemical Name: 6’-O-cinnamoyl harpagide, Chemical Formula: C24H30O11, Purity: HPLC≥98%.High-purity plant reference material for precise scientific research and analysis.
Catalog No: ST81360205
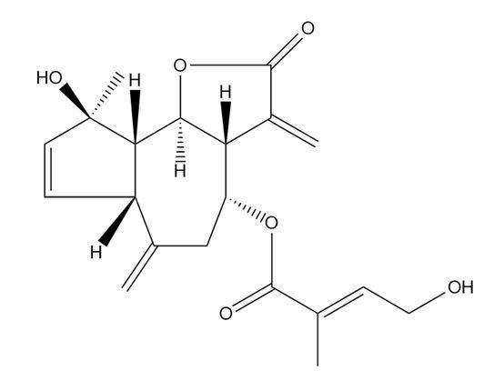
CAS No: 757202-08-7
Description: Chemical Name: Eupalinilide B, Chemical Formula: C20H24O6, Purity: HPLC≥95%.High-purity plant reference material for precise scientific research and analysis.
Catalog No: ST81370105
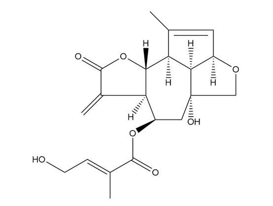
CAS No: 757202-11-2
Description: Chemical Name: Eupalinilide C, Chemical Formula: C20H24O7, Purity: HPLC≥98%.High-purity plant reference material for precise scientific research and analysis.
Catalog No: ST81300105
CAS No: 68422-01-5
Description: Chemical Name: Hapepunine, Chemical Formula: C28H47NO2, Purity: HPLC≥98%.High-purity plant reference material for precise scientific research and analysis.
Catalog No: ST81310105
CAS No: 157478-01-8
Description: Chemical Name: Yubeinine, Chemical Formula: C27H43NO3, Purity: HPLC≥98%.High-purity plant reference material for precise scientific research and analysis.
Catalog No: ST81320105
CAS No: 25650-68-4
Description: Chemical Name: Ebeiedinone, Chemical Formula: C27H43NO2, Purity: HPLC≥98%.High-purity plant reference material for precise scientific research and analysis.
Catalog No: ST81280105
CAS No: 102681-52-7
Description: Chemical Name: Schisanhenol B, Chemical Formula: C22H26O6, Purity: HPLC≥98%.High-purity plant reference material for precise scientific research and analysis.
Catalog No: ST81290105
CAS No: 82425-45-4
Description: Chemical Name: (+)Gomisin M2, Chemical Formula: C22H26O6, Purity: HPLC≥98%.High-purity plant reference material for precise scientific research and analysis.
Catalog No: ST81270105
CAS No: 680617-50-9
Description: Chemical Name: 7-Megastigmene-3,5,6,9- tetrol, Chemical Formula: C13H24O4, Purity: HPLC≥98%.High-purity plant reference material for precise scientific research and analysis.

Request a call back

Quotation request