Botanical Reference Materials

Botanical Reference Material, specifically a plant high-purity control strain is a substance used for scientific research or identification, particularly in chemical composition analysis, pharmacological activity screening, toxicity mechanism research, drug administration, food, health food, cosmetics, and other related products. It is employed through accurate qualitative and purity analysis, uniformity testing, and stability monitoring. These substances have specific characteristics or quantities and are classified into categories such as fatty acids, phenolic acids, anthones, terpenoids, steroids, saponins, phenylpropanoids, flavonoids, alkaloids, carbohydrates, amino acids, peptides, and others. We offer over 6,000 types of high-purity plant reference materials, including traditional Chinese medicine, natural medicine, plant, and other related scientific research and application reference materials.

Name

Description

Structure

Catalog No: STC0070120
CAS No: 70-47-3
Description: Chemical Name: L-Asparagine, Chemical Formula: C4H8N2O3, Purity: HPLC≥98%.High-purity plant reference material for precise scientific research and analysis.
Catalog No: STC0080120
CAS No: 86386-73-4
Description: Chemical Name: Fluconazole, Chemical Formula: C13H12F2N6O, Purity: HPLC≥98%.High-purity plant reference material for precise scientific research and analysis.
Catalog No: STC0040205
CAS No: 27856-54-8
Description: Chemical Name: Lamiide, Chemical Formula: C17H26O12, Purity: HPLC≥95%.High-purity plant reference material for precise scientific research and analysis.
Catalog No: STC0050100
CAS No: 4075-81-4
Description: Chemical Name: Calcium propanoate, Chemical Formula: C3H6O2.1/2Ca, Purity: HPLC≥98%.High-purity plant reference material for precise scientific research and analysis.
Catalog No: STZ0010110
CAS No: 32671-82-2
Description: Chemical Name: Antofine, Chemical Formula: C23H25NO3, Purity: HPLC≥98%.High-purity plant reference material for precise scientific research and analysis.
Catalog No: STC0010205
CAS No: 99-18-3
Description: Chemical Name: Prunasin, Chemical Formula: C14H17NO6, Purity: HPLC≥95%.High-purity plant reference material for precise scientific research and analysis.
Catalog No: STC0020120
CAS No: 10101-41-4
Description: Chemical Name: Calcium sulfate dihydrate, Chemical Formula: CaSO4.2H2O, Purity: HPLC≥98%.High-purity plant reference material for precise scientific research and analysis.
Catalog No: STC0030105
CAS No: 82841-67-6
Description: Chemical Name: Pingbeimine A, Chemical Formula: C27H45NO5, Purity: HPLC≥98%.High-purity plant reference material for precise scientific research and analysis.
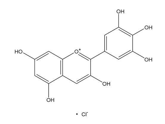
Catalog No: ST58940205
CAS No: 528-53-0
Description: Chemical Name: Delphinidin, Chemical Formula: C15H11O7.Cl, Purity: HPLC≥95%.High-purity plant reference material for precise scientific research and analysis.
Catalog No: ST58910120
CAS No: 105-60-2
Description: Chemical Name: Caprolactam, Chemical Formula: C6H11NO, Purity: HPLC≥98%.High-purity plant reference material for precise scientific research and analysis.

Request a call back

Quotation request