Botanical Reference Materials

Botanical Reference Material, specifically a plant high-purity control strain is a substance used for scientific research or identification, particularly in chemical composition analysis, pharmacological activity screening, toxicity mechanism research, drug administration, food, health food, cosmetics, and other related products. It is employed through accurate qualitative and purity analysis, uniformity testing, and stability monitoring. These substances have specific characteristics or quantities and are classified into categories such as fatty acids, phenolic acids, anthones, terpenoids, steroids, saponins, phenylpropanoids, flavonoids, alkaloids, carbohydrates, amino acids, peptides, and others. We offer over 6,000 types of high-purity plant reference materials, including traditional Chinese medicine, natural medicine, plant, and other related scientific research and application reference materials.

Name

Description

Structure

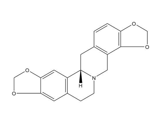
Catalog No: ST24370105
CAS No: 84-39-9
Description: Chemical Name: Stylopine, Chemical Formula: C19H17NO4, Purity: HPLC≥98%.High-purity plant reference material for precise scientific research and analysis.
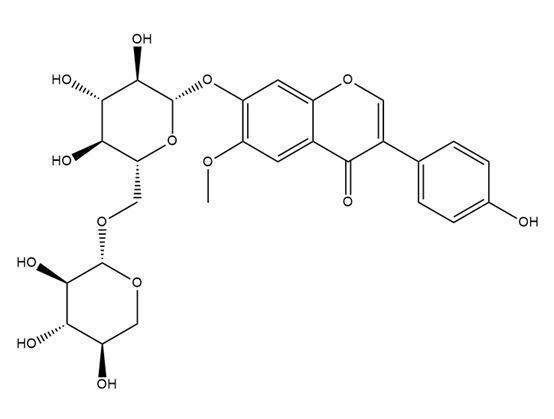
Catalog No: ST24380105
CAS No: 94805-82-0
Description: Chemical Name: Glycycoumarin, Chemical Formula: C21H20O6, Purity: HPLC≥98%.High-purity plant reference material for precise scientific research and analysis.
Catalog No: ST24390120
CAS No: 17673-25-5
Description: Chemical Name: Phorbol, Chemical Formula: C20H28O6, Purity: HPLC≥98%.High-purity plant reference material for precise scientific research and analysis.
Catalog No: ST24400120
CAS No: 16561-29-8
Description: Chemical Name: Phorbol 12-tetradecanoate 13-acetate, Chemical Formula: C36H56O8, Purity: HPLC≥98%.High-purity plant reference material for precise scientific research and analysis.
Catalog No: ST24330210
CAS No: 36062-05-2
Description: Chemical Name: Hexahydrocurcumin, Chemical Formula: C21H26O6, Purity: HPLC≥95%.High-purity plant reference material for precise scientific research and analysis.

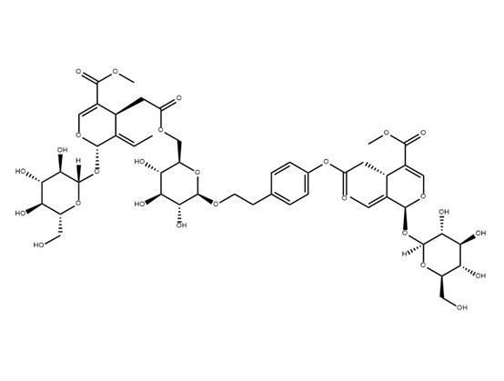
G13

Catalog No: ST24340105
CAS No: 60037-39-0
Description: Chemical Name: G13, Chemical Formula: C48H64O27, Purity: HPLC≥98%.High-purity plant reference material for precise scientific research and analysis.
Catalog No: ST24350105
CAS No: 49849-13-0
Description: Chemical Name: 6-n-Propoxy Dihydrochelerythrine, Chemical Formula: C24H25NO5, Purity: HPLC≥98%.High-purity plant reference material for precise scientific research and analysis.
Catalog No: ST24310105
CAS No: 231288-18-9
Description: Chemical Name: 6”-O-xylosyl-glycitin, Chemical Formula: C27H30O14, Purity: HPLC≥98%.High-purity plant reference material for precise scientific research and analysis.
Catalog No: ST24320105
CAS No: 112693-21-7
Description: Chemical Name: Oleonuezhenide, Chemical Formula: C48H64O27, Purity: HPLC≥98%.High-purity plant reference material for precise scientific research and analysis.
Catalog No: ST24300105
CAS No: 13209-79-5
Description: Chemical Name: Marmesin angelate, Chemical Formula: C19H20O5, Purity: HPLC≥98%.High-purity plant reference material for precise scientific research and analysis.

Request a call back

Quotation request